главная страница услуги дизайн заказы хелп ЧАВО технологии контакты   переключение на английский вариант сайта
веб сайты магазины каталоги создание разработка web сайтов оптимизация продвижение раскрутка сео реклама сайтов сайт под ключ поддержка хостинг индивидуальный дизайн

проверить домен, мы регистрируем домены, организуем хостинг, разрабатываем сайты, каталоги, магазины
название:   
домен:  


 случайное из портфолио:
случайное портфолио из последних сайтов


 телефон - звоните: разработка и создание сайтов, каталогов, магазинов, скрипты, дизайн  +38 (068) 606-98-76
 mail - пишите: разработка и создание сайтов, каталогов, магазинов, скрипты, дизайн  angeloleg@ukr.net
 icq - пишите: разработка и создание сайтов, каталогов, магазинов, скрипты, дизайн  123530456
   Skype:angelok123530456


 последние новости:
Рик Перри входит в президентскую гонку с Обамой
Огромный алмаз конфискован в Огайо, чтобы быть выставленным на аукционе
Персеид метеоров поставить на глобальные шоу
Темная сторона человека в Арубе отсутствует женщины случае
Юрист проблемы Аруба должностных лиц в случае турист
Сейшельские острова нападения акулы убивает Великобритании honeymooner
Американо-китайский обручи игроков драку во время визита Байдена
Город выключается гараж больного раком продаж: Дешевые выстрел?
4 человека погибли в Питтсбурге внезапный паводок
Десятки более арестован на нефть протеста трубопровода
Рик Перри цыпочки от социального обеспечения хлопает
Секс сняли обвинения против Стросс-Кан
Иностранные журналисты освобождены от Триполи отель
Сторонников повстанцев боя, Каддафи продолжает охоту



Статистика работы в сети Интернет

Будем считать, что суточная аудитория некоторого региона — это количество жителей данного региона, которые хотя бы раз в сутки заходят в Сеть, недельная аудитория — это соответственно количество жителей, которые хотя бы раз в неделю заходят в Сеть и т.п. Применяются также понятия «регулярная аудитория» и «абсолютная аудитория». Под регулярной аудиторией понимается недельная аудитория, а под абсолютной — полугодовая. Когда говорят об аудитории Интернета, не уточняя временных рамок, то подразумевают абсолютную аудиторию.
Опираясь на исследования Miniwatts Marketing Group, можно сказать, что из 6,4 млрд. человек, живущих сегодня на планете, Интернетом пользуются почти 15%. Примерно половина из этих людей являются регулярными пользователями. Более подробная статистика по регионам представлена в табл. 1. Степень проникновения Интернета (отношение количества Интернет-пользователей к общей численности населения) по регионам весьма неравномерна — от 2,7% в Африке до 68,2% в Северной Америке.

Регион
Численность населения в 2005 г.,
млн. чел.
Доля от населения планеты,
%
Количество пользователей Интернета, млн. чел.
Степень проникновения Интернета, %
Рост пользования Интернетом в период 2000-2005 гг., %
Африка
896,721874
14,0
23,917500
2,7
429,8
Азия
3622,994130
56,4
332,590713
9,2
191,0
Европа
804,574696
12,5
285,408118
35,5
171,6
Ближний Восток
187,258006
2,9
16,163500
8,6
392,1
Северная Америка
328,387059
5,1
224,103811
68,2
107,3
Латинская Америка и страны Карибского бассейна
546,723509
8,5
72,953597
13,3
303,8
Австралия и Океания
33,443448
0,5
17,690762
52,9
132,2
Всего
6 420, 1022722
100,0
972,828001
15,2
169,5

Приведем данные на 2007 год:
Регион Численность населения в 2007 Доля от населения планеты, % Количество пользователей Интернета, млн. чел. Степень проникновения Интернета, % Доля пользователей
% по всей планете
Рост пользования Интернетом в период
2000-2007
Африка 933,448,292 14.2 % 33,545,600 3.6 % 2.9 % 643.1%
Азия 3,712,527,624 56.5 % 436,758,162 11.8 % 37.2 % 282.1%
Европа 809,624,686 12.3 % 321,853,477 39.8 % 27.4% 206.2%
Ближний Восток 193,452,727 2.9 % 19,539,300 10.1 % 1.7 % 494.8%
Северная Америка 334,538,018 5.1 % 232,655,287 69.5 % 19.8% 115.2%
Латинская Америка и страны Карибского бассейна 556,606,627 8.5 % 109,961,609 19.8 % 9.4 % 508.6%
Австралия и Океания 34,468,443 0.5 % 18,796,490 54.5 % 1.6 % 146.7%
Всего 6,574,666,417 100.0% 1,173,109,925 17.8 % 100.0% 225.0%

При этом число пользователей Интернета в России соизмеримо с аналогичным показателем таких стран, как Франция и Италия. Население на март 2007 года составляло 143 406 042 чел, при процентной доле пользователей Интернет 19.5% при 2 900 000 высокоскоростных интернет подключениях на сентябрь 2007 года.

Рост числа пользователей приводит к увеличению объема содержимого Сети, к появлению все новых и новых web-сайтов. Оценить количество веб-сайтов невозможно по причине того, что нельзя учесть то, что не проиндексировано. Поэтому имеет смысл говорить только об объеме индексированного web-пространства, то есть части, проиндексированной поисковыми машинами. В 1997 году Бахард (Bharat) и Бродер (Broder) оценили эту величину по поисковикам Hotbot, Altavista, Excite и Infoseek (крупнейшим поисковикам того времени) и определили ее как 200 млн. стр. Впоследствии, в 1998 году, Лоренс (Lawrence) и Гилес (Giles) обозначили нижнюю границу индексированного web-пространства, которую они оценили в 800 млн. страниц. Рост числа пользователей приводит к увеличению объема содержимого Сети, к появлению все новых и новых web-сайтов. Каков же на данный момент объем web-пространства? Этого не знает никто: оценить его невозможно по причине того, что нельзя учесть то, что не проиндексировано. Поэтому имеет смысл говорить только об объеме индексированного web-пространства (indexable Web), то есть его части, проиндексированной поисковыми машинами. Написан целый ряд работ, в которых авторы пытались подсчитать объем индексированного web-пространства. Так, в 1997 году Бахард (Bharat) и Бродер (Broder) оценили эту величину по поисковикам Hotbot, Altavista, Excite и Infoseek (крупнейшим поисковикам того времени) и определили ее как 200 млн. стр. Впоследствии, в 1998 году, Лоренс (Lawrence) и Гилес (Giles) обозначили нижнюю границу индексированного web-пространства, которую они оценили в 800 млн. страниц.
Согласно исследованиям Антонио Гули (Antonio Gulli) и Алессио Синьорини (Alessio Signorini) из Университета Айовы, по состоянию на конец января 2005 года объем индексированного web-пространства составлял как минимум 11,5 млрд. страниц. В своих подсчетах они основывались на данных об объеме индексированных страниц, предоставляемых ведущими поисковыми машинами, и анализировали степень перекрытия их списков. Вышеупомянутые исследователи приводят данные по ведущим поисковикам по состоянию на февраль 2005 года: Google — 8 млрд. страниц, MSN Beta — около 5 млрд., Yahoo — как минимум 4 млрд., Ask/Teoma — более 2 млрд.Согласно исследованиям Антонио Гули (Antonio Gulli) и Алессио Синьорини (Alessio Signorini) из Университета Айовы, по состоянию на конец января 2005 года объем индексированного web-пространства составлял как минимум 11,5 млрд. страниц. В своих подсчетах они основывались на данных об объеме индексированных страниц, предоставляемых ведущими поисковыми машинами, и анализировали степень перекрытия их списков. Так же известны данные по ведущим поисковикам по состоянию на февраль 2005 года: Google — 8 млрд. страниц, MSN Beta — около 5 млрд., Yahoo — как минимум 4 млрд., Ask/Teoma — более 2 млрд.

Но, если оценить объем web-страниц достаточно сложно, то данные по регистрации доменов можно легко проанализировать.
По данным RU-CENTER (Статистические и информационно-аналитические исследования состояния и основных тенденций развития инфраструктуры российского сегмента Интернета: Бюллетень/Региональный сетевой информационный центр (RU-CENTER), 2005. 21 октября. Вып. 3: Поисковая оптимизация способствует росту числа доменов), в 2005 году было зафиксировано наиболее стремительное за всю историю Интернета увеличение числа доменов. Так, был побит рекорд 2000 года по числу регистрации, когда наблюдался так называемый доткомовский бум. В период с октября 2004 года по октябрь 2005-го в мире было зарегистрировано свыше 17 млн. новых доменных имен. Зона COM остается самой популярной среди доменов общего пользования (gTLD (generic Top Level Domains — домены общего пользования: COM, NET, ORG, INFO, BIZ, MUSEUM, NAME, AERO и COOP )) — на ее долю приходится около 46% всех зарегистрированных имен. Быстрее среди gTLD растет только домен NAME — 88%.
Рост количества доменов в зоне COM отражает историю развития Интернета за последние годы. Как видно из рисунка, бурный рост количества доменных имен в зоне COM в период с 1998-го по 2001 год (период роста доткомов) замедлился в 2002-м, в 2003 году произошел спад, а в начале 2004-го возобновился рост регистраций.

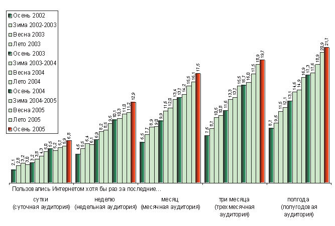
Количество персональных компьютеров в России выросло за 2005 год на 16% и в конце 2005 года достигало 17 млн. шт.. Общее число пользователей Всемирной сети в России насчитывало 22 млн. человек, то есть Интернетом пользовался каждый шестой россиянин.
Обратимся к данным фонда «Общественное мнение» (ФОМ): на рис. показана динамика активности пользования Интернетом в России. Диаграмма позволяет сравнить объем суточной и полугодовой аудитории. Так, суточная аудитория Интернета в конце 2005 года составляла около 7 млн. чел., а полугодовая была примерно в 3 раза больше. Таким образом, за второе полугодие Интернет посетило около 21,7 млн. чел. — эта цифра и принимается за показатель объема аудитории Интернета в России.

Распределение пользователей Интернета по стране весьма неравномерно (рис. 6) — в Москве проживает 20% всех Интернет-пользователей.
Аналитики J’son and Partners приводят данные по недельной аудитории пользователей Интернета в России (рис. 7), из которых следует, что регулярных пользователей Интернета в Москве (27%) больше, чем абсолютных, — 20%

Московская область занимает третье место среди российских регионов как по объему Интернет-аудитории, так и по уровню проникновения, уступая только Москве и Петербургу. В Московской области проживает более 550 тыс. регулярных пользователей Интернета, что составляет 9% от официальной численности населения области.
По уровню Интернет-проникновения Московская область (9%) существенно уступает Москве и Петербургу, но опережает все остальные регионы, включая Приморье и Мурманскую область (по 8%), Новосибирскую, Томскую, Калининградскую и Новгородскую области (по 7%).
Анализ посещаемости ресурсов Рунета по тематическим группам позволяет выявить степень популярности тех или иных тем. На рисунке представлена диаграмма, построенная на основании ежемесячных данных о посещении ресурсов в Rambler’s Top-100.

Как видно из диаграммы, тематические группы «Компьютеры и Интернет» и «Развлечения» многократно превышают все остальные категории.

Так же статистика свидетельствует об увеличении количества выходов в Интернет из дома, причем это единственная категория, в которой наблюдается устойчивый рост. По месту учебы в Интернет выходить стали реже. Однако в ряде регионов популярность выхода в Интернет по месту учебы существенно выше, чем в Москве.

Так же из опроса следует что, мужчины активнее используют Интернет, чем женщины.
Статистика регистрации доменов в Рунете показывает, что в конце сентября 2005 года число доменов второго уровня в зоне RU преодолело отметку в 400 тыс., при этом годовой рост составил 44%. Количество владельцев доменных имен в сентябре прошлого года достигло 208 тыс. Количество регистраций доменов и время существования доменов в зоне RU показаны ниже на рисунке.

В минувшем году продолжилось сокращение числа владельцев доменов, являющихся юридическими лицами: к середине 2005 года этот показатель уменьшился до 46% (3,5 года назад доля юридических лиц достигала 60%). С 3 до 4% увеличилась доля зарубежных владельцев доменов в зоне RU. Доля Москвы продолжает сокращаться: на сентябрь 2005 года она составляла 51,53% против 54,57% на конец сентября 2004 года. Рост зоны RU на 44% за год является одним из самых впечатляющих среди ссTLD (country code Top Level Domain — географические домены высшего доменного уровня). Быстрее растет только домен CN (Китай) — 45%. Число аккредитованных регистраторов доменов в зоне RU достигло 12. В последние два года для зоны RU были характерны стабильно ускоряющиеся темпы роста количества регистраций. Если подобный рост продолжится, то рубеж в 500 тыс. доменов будет преодолен уже к осени текущего года. Ведущим регистратором доменных имен в зоне RU по-прежнему остается компания RU-CENTER (http://www.nic.ru/), на долю которой приходится свыше 68% всех зарегистрированных доменов второго уровня. Что касается РосНИИРОСа, то он обслуживает уже меньше 4% доменов, и эта цифра постоянно снижается, поскольку с 1 января прошлого года там прекратилось предоставление услуг по регистрации доменных имен.

Со ссылкой на WebTitan Statistics


Компания Sputnikmedia.net и крупнейший украинский портал Bigmir)net представили глобальную статитстику украинского Интернета за декабрь 2004.
По итогам декабря, уникальная аудитория украинского Интернета составила 5 905 465 человек. Это люди, которые в течении последнего 31 дня хотя бы один раз заходили в Интернет.
По сравнению с ноябрем, число уникальных пользователей сети увеличилось на 339 598 человек или на 6,1%. При этом, размер аудитории не уменьшился. Это говорит о том, что большинство новых украинских пользователей, которые впервые зашли в Интернет в ноябре продолжали пользоваться глобальной сетью и в декабре. Специалисты Sputnikmedia.net отмечают, что в ноябре рост аудитории составил 39,36% - такой резкий скачок был обусловлен политической ситуацией в Украине.
Географически, среди украинских пользователей по-прежнему лидируют столичные жители. Доля киевлян в украинском Интернете – 55.44%.
Пользователи из остальных городов-миллионников (Днепропетровск, Одесса, Харьков, Львов, Донецк, Запорожье) составляют 32,16%.
На остальные регионы Украины приходится 12.4% посетителей. Меньше всего пользователей Интернета в декабре было из Ровненской области - 0,28%.
По сравнению с ноябрем месяцем наиболее значительный рост продемонстрировала Волынская область. Здесь Интернетом стало пользоваться на 29,37% людей больше.
Возрастное соотношение пользователей в Украине и России практически одинаково, однако в России больше Интренет-пользователей старших 35 лет (например, в группе 45-54 года в Украине - около 7% пользователей, а в России - около 9%).
Гендерное соотношение также сохранено, однако в России больше женщин знакомы с Интернетом (41% против 33% в Украине). Украинская Интернет-аудитория более образована – Интернетчиков с высшим образованием здесь около 42%, в Росии – около 38%. С двумя высшими образованиями – 8% в Украине против 7% в России.
Обе аудитории достаточно хорошо обеспечены, однако в России больше пользователей, уровень дохода которых равен приблизительно $1000 и выше.
Если рассматривать способ доступа, то в Украине незначительно уровень использования выделенного доступа незначительно превышает диал-ап – около 38% выделенный доступ, около 36% - диал-ап. А здесь наблюдаются значительные отличия по сравнению с Россией. В России выделенный доступ составляет около 63%, диал-апом пользуются около 23%.
При этом Госсвязь сообщает, что сегодня в Украине услугами Интернет с разной периодичностью пользуется около 9 млн. жителей Украины. В то же время другой государственный орган - государственный комитет статистики Украины утверждает что количество Интернет-пользователей в Украине составило 956 тыс. А по результатам апреля размер украинской Интернет-аудитории составляет 4,82 миллионов человек. По данным Бигмира лидером по количеству Интернет-пользователей остается Киев - 60,1% от общего количества пользователей.
За последние два года доля пользователей Интернет в Украине в целом возросла с 5 до 8%, среди городского населения с 6 до 10%, а среди городского населения в возрасте от 18 до 45 лет - с 9 до 15%.

Со ссылкой на: АИН, корреспондент.net

службы мониторинга серверов